13-09420. Thionazin [Archived]

Nomenclature

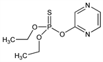
CAS number: 297-97-2
Phosphorothioic acid O,O-diethyl O-pyrazinyl ester; O,O-diethyl-O-(2-pyrazinyl) phosphorothioate; ethyl pyrazinyl phosphorothioate; EN-18133; ENT-25580; American Cyanamid 18133; Cynem; Nemafos; Zinophos.
C8H13N2O3PS; mol wt 248.24.
C 38.71%, H 5.28%, N 11.28%, O 19.34%, P 12.48%, S 12.92%.

Description and references

Prepn: Dixon et al., US 2918468; Gordon, US 2938831; Miller, Forbes, US 3091614; Gagliardi, US 3340262 (1959, 1960, 1963, 1967 all to Am. Cyanamid). Toxicity study: T. B. Gaines, Toxicol. Appl. Pharmacol. 14, 515 (1969).

Chemical structure

Properties

Amber liquid, mp 1.7°. bp 80°. nD25 1.5131. Vapor pressure at 30°: 3 × 103 mm Hg. Slightly sol in water; misc with most organic solvents. LD50 in female, male rats (mg/kg): 3.5, 6.4 orally; 11, 17 dermally (Gaines).

Caution

Cholinesterase inhibitor. See Parathion.

Use

Nematocide; insecticide.

Status

This monograph has been retired and is no longer subject to revision or update.