13-09728. Triclofenol Piperazine [Archived]

Nomenclature

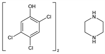
CAS number: 5714-82-9
2,4,5-Trichlorophenol compd with piperazine (2:1); bis(2,4,5-trichlorophenol) piperazine; piperazine salt of bis(2,4,5-trichlorophenol); CI-416; Ranestol (obsolete) (Parke-Davis).
C16H16Cl6N2O2; mol wt 481.03.
C 39.95%, H 3.35%, Cl 44.22%, N 5.82%, O 6.65%.

Description and references

Prepn: Short, Elslager, US 2980681 (1961 to Parke, Davis); J. Med. Pharm. Chem. 5, 642 (1962).

Chemical structure

Properties

Crystals, mp 109-110°.

Therapeutic Category

Anthelmintic (Nematodes).

Keywords

Anthelmintic (Nematodes)

Status

This monograph has been retired and is no longer subject to revision or update.