13-09856. Trospectomycin [Archived]

Nomenclature

CAS number: 88669-04-9
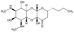
(2R,4aR,5aR,6S,7S,8R,9S,9aR,10aS)-2-Butyldecahydro-4a,7,9-trihydroxy-6,8-bis(methylamino)-4H-pyrano[2,3-b][1,4]benzodioxin-4-one; 6′-n-propylspectinomycin.
C17H30N2O7; mol wt 374.43.
C 54.53%, H 8.08%, N 7.48%, O 29.91%.

Description and references

Semi-synthetic analog of spectinomycin. Prepn: D. R. White, DE 3308196; idem, US 4532336 (1983, 1985 both to Upjohn); D. R. White et al., J. Antibiot. 36, 339 (1983); P. M. Herrinton et al., J. Org. Chem. 58, 678 (1993). In vitro activity: G. E. Zurenko et al., Antimicrob. Agents Chemother. 32, 216 (1988). Mode of action: E. M. Veringa et al., Int. J. Med. Microbiol. 271, 311 (1989). Pharmacokinetic and tolerance study: G. R. Peters et al., Int. J. Clin. Pharmacol. Ther. Toxicol. 28, 361 (1990). HPLC determn in plasma and serum: R. J. Simmonds et al., J. Liq. Chromatogr. 13, 1125 (1990). Clinical study in gonorrhea: T. F. Mroczkowski et al., Drugs Exp. Clin. Res. 19, 41 (1993).

Chemical structure

Derivative

Sulfate pentahydrate.

Nomenclature

CAS number: 88851-61-0
U-63366F; Spexil.
C17H30N2O7.H2SO4.5H2O; mol wt 562.58.
C 36.29%, H 7.52%, N 4.98%, O 45.50%, S 5.70%.

Properties

Crystals from acetone/water.

Therapeutic Category

Antibacterial.

Keywords

Antibacterial (Antibiotics); Aminoglycosides

Status

This monograph has been retired and is no longer subject to revision or update.