T. B. Johnson, G. E. Hilbert, Science 69, 579 (1929); G. E. Hilbert, T. B. Johnson, J. Am. Chem. Soc. 52, 2001, 4489 (1930).
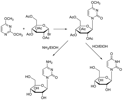
Reaction of 2,4-dialkoxypyrimidines with halogenated sugar to yield pyrimidine nucleosides:

W. Zorbach, Methods Carbohydr. Chem. 6, 445 (1972); T. Ueda, H. Ohtsuka, Chem. Pharm. Bull. 21, 1451, 1530 (1973); C.-H. Kim et al., J. Med. Chem. 29, 1374 (1986); A. A. Mourabit, Tetrahedron: Asymmetry 7, 3455 (1996). Modified conditions: U. Neidballa, H. Vorbrüggen, Angew. Chem. Int. Ed. 9, 469 (1970); H. Vorbrüggen, et al., Ber. 114, 1279 (1981); H. Kristinsson et al., Tetrahedron 50, 6825 (1994); G. Liu et al., Synth. Commun. 26, 2681 (1996). Review of early studies: J. Pliml, M. Prystas, Adv. Heterocycl. Chem. 8, 115 (1967).