O. Hinsberg, Ber. 21, 110 (1888); 25, 2545 (1892); 41, 1367 (1908).
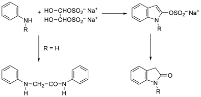
Formation of oxindoles from secondary aryl amines and the acid addition compound of glyoxal; primary aryl amines give glycine or glycinamide derivatives:

O. Hinsberg, J. Rosenzweig, ibid. 27, 3253 (1894); C. Hollins, Synthesis of Nitrogen Ring Compounds (London, 1924) p 112; H. Burton, J. Chem. Soc. 1932, 546; P. L. Julian et al., Heterocycl. Compd. 3, 139 (1952). Mechanistic study: M. I. Abasolo et al., J. Heterocycl. Chem. 29, 1279 (1992). Applications: M. I. Abasolo et al., ibid. 27, 157 (1990); G. A. Rodrigo et al., ibid. 34, 505 (1997). Cf. Stollé Synthesis.