D. A. Clibbens, M. Nierenstein, J. Chem. Soc. 107, 1491 (1915).
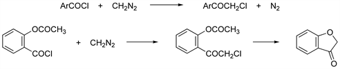
Formation of ω-chloroacetophenones by reaction of diazomethane in dry ether with aroyl chlorides. Coumaranonones are obtained if an ortho-hydroxy group is present:

W. E. Bachman, W. S. Struve, Org. React. 1, 38 (1942); Y. Miyahara, J. Heterocycl. Chem. 16, 1147 (1979).