R. G. W. Norrish, C. H. Bamford, Nature 138, 1016 (1936); 140, 195 (1937).
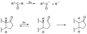
Norrish Type I Cleavage: Homolytic cleavage of aldehydes and ketones originating from their excited nπ* state. Synthetically useful for the ring cleavage of cyclic ketones:

Norrish Type II Cleavage: Reaction originating from the nπ* excited state of aldehydes and ketones that involves intramolecular γ-hydrogen abstraction followed by cleavage of the resulting diradical to an olefin and an enol which tautomerizes to the carbonyl compound:

Norrish Type I: D. H. R. Barton et al., J. Am. Chem. Soc. 107, 3607 (1985); J. R. Hwu et al., Chem. Commun. 1990, 161. Norrish Type II: J. M. Nuss, M. M. Murphy, Tetrahedron Lett. 35, 37 (1994); F. Hénin et al., Tetrahedron 50, 2849 (1994). Reviews: J. D. Coyle, H. A. J. Carless, Chem. Soc. Rev. 1, 465 (1972); O. L. Chapman, D. S. Weiss, Org. Photochem. 3, 197-277 (1973); J. March, Advanced Organic Chemistry (Wiley-Interscience, New York, 4th ed., 1992) p 242; W. M. Horspool, Photochemistry 25, 67-100 (1994). Cf. McLafferty Rearrangement.