373. Amanitin

Nomenclature

CAS number: 11030-71-0

Description and references

Group 1 mushroom toxin from the poisonous mushroom Amanita phalloides (Fr.) Secr., Agaricaceae. Inhibits protein synthesis of mammalian cells. Comprised of α-, β-, γ-amanitin and amanin. α-Amanitin is the major poisonous constituent of A. phalloides; it is 10-20 times more toxic than phalloidin, q.v. Isoln of α- and β-amanitin: Wieland, Ann. 564, 152 (1949). Prepn of α-amanitin from β-amanitin: Wieland, Boehringer, ibid. 635, 178 (1960). Structure: Wieland, Pure Appl. Chem. 9, 145 (1964); Wieland, Gebert, Ann. 700, 157 (1967). Review of chemistry and toxicology of the toxins of Amanita phalloides: Wieland, Wieland, Pharmacol. Rev. 11, 87-107 (1959); T. Wieland, Fortschr. Chem. Org. Naturst. 25, 214-250 (1967); T. Wieland, H. Faulstich, Crit. Rev. Biochem. 5, 185-260 (1978). Book: H. Faulstich et al., Amanita Toxins and Poisoning: International Amanita Symposium (Lubrecht & Cramer, Heidelberg, 1980) 246 pp.

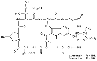
Chemical structure

Derivative

α-Amanitin.

Nomenclature

CAS number: 23109-05-9
C39H54N10O14S; mol wt 918.97.
C 50.97%, H 5.92%, N 15.24%, O 24.37%, S 3.49%.

Properties

Needles from methanol, mp 254-255°. [α]D20 +191°. uv max: 302 nm. LD50 i.p. in albino mice: 0.1 mg/kg (Wieland, Wieland).

Derivative

β-Amanitin.

Nomenclature

CAS number: 21150-22-1
C39H53N9O15S; mol wt 919.95.
C 50.92%, H 5.81%, N 13.70%, O 26.09%, S 3.49%.

Properties

Needles from methanol, mp 300°. uv max: 302 nm. Sol in water, methanol, ethanol, aqueous butanol. LD50 i.p. in albino mice: 0.4 mg/kg (Wieland, Wieland).

Caution

Highly toxic. Following a characteristic asymptomatic period of 6-15 hrs, potential symptoms of intoxication due to ingestion include violent gastroenteritis; fever, tachycardia, hyperglycemia, dehydration, electrolyte imbalance; liver dysfunction and necrosis; renal failure; may be fatal. See Clinical Toxicology of Commercial Products, R. E. Gosselin et al., Eds. (Williams & Wilkins, Baltimore, 5th ed., 1984) Section II, p 246; M. J. Ellenhorn, D. G. Barceloux, Medical Toxicology: Diagnosis and Treatment of Human Poisoning (Elsevier, New York, 1988) pp 1331-1338.

Use

As a tool in molecular biology.