458. 6-Aminopenicillanic Acid

Nomenclature

CAS number: 551-16-6
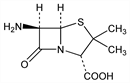
(2S,5R,6R)-6-Amino-3,3-dimethyl-7-oxo-4-thia-1-azabicyclo[3.2.0]heptane-2-carboxylic acid; 6-APA; penicin; penin.
C8H12N2O3S; mol wt 216.26.
C 44.43%, H 5.59%, N 12.95%, O 22.19%, S 14.83%.

Description and references

Obtained from cultures of Penicillium chrysogenum in the absence of side chain precursors: F. R. Batchelor et al., Nature 183, 257 (1959). Synthesis: J. C. Sheehan, K. R. Henery-Logan, J. Am. Chem. Soc. 81, 5838 (1959); 84, 2983 (1962). Intermediate in the manuf of synthetic penicillins: J. C. Sheehan, US 3159617 (1964 to Arthur D. Little). HPLC determn: J. Haginaka, J. Wakai, Anal. Biochem. 158, 146 (1986). Review of prepn: F. M. Huber et al. in Cephalosporins Penicillins: Chem. Biol., E. H. Flynn, Ed. (Academic, New York, 1972) pp 27-73. Review of chemistry: E. J. Vandamme, J. P. Voets, Adv. Appl. Microbiol. 17, 311-369 (1974). General review: G. N. Rolinson, J. Antimicrob. Chemother. 22, 5-14 (1988).

Chemical structure

Properties

Crystals from water + HCl, dec 208-209°, also reported as 207-208° (dried) (Sheehan). [α]D31 +273° (c = 1.2 in 0.1N HCl).

Use

In manuf of synthetic penicillins.