831. Ascorbigen

Nomenclature

CAS number: 8075-98-7
2-C-(1H-Indol-3-ylmethyl)-β-l-lyxo-3-hexulofuranosonic acid γ-lactone mixt with 2-C-(1H-indol-3-ylmethyl)-β-l-xylo-3-hexulofuranosonic acid γ-lactone.
C15H15NO6; mol wt 305.28.
C 59.01%, H 4.95%, N 4.59%, O 31.45%.

Description and references

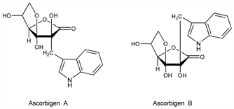
Isoln from savoy cabbage juice: Procházka, Sanda, Collect. Czech. Chem. Commun. 25, 270 (1960). Prepn from l-ascorbic acid + glucobrassicin: Gmelin, Virtanan, Suom. Kemistil. B 34, 15 (1961), C.A. 55, 17774f (1961); from l-ascorbic acid + gramine methiodide: Procházka, Collect. Czech. Chem. Commun. 28, 544 (1963). Prepn from l-ascorbic acid + 3-hydroxymethylindole; forms two diastereoisomers: ascorbigen A as the main product and ascorbigen B as a minor product: Kiss, Neukom, Helv. Chim. Acta 49, 989 (1966); Kiss, Angew. Chem. 78, 1066 (1966).

Chemical structure

Derivative

Ascorbigen A.

Properties

Amorphous powder, sinters about 65°. [α]D25 +11.0° (c = 2 in ethanol). uv max (ethanol): 220, 273-274, 280, 290 nm.

Derivative

Ascorbigen B.

Properties

Yellow amorphous powder, sinters about 70°. [α]D25 +12.5° (methanol).