883. Aurothioglucose

Nomenclature

CAS number: 12192-57-3
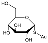
(1-Thio-d-glucopyranosato-O2,S1)gold; (1-d-glucosylthio)gold; gold thioglucose; Aureotan (Byk Gulden); Solganal (Schering).
C6H11AuO5S; mol wt 392.18.
C 18.38%, H 2.83%, Au 50.22%, O 20.40%, S 8.18%.

Description and references

Disease modifying antirheumatic drug (DMARD). Prepn: Lebeau-Janot, Traité Pharm. Chim. II, 661 (1956). Induction of obesity in exptl animals: A. F. Debons et al., Fed. Proc. 36, 143 (1977). Clinical comparison with auranofin, q.v., in rheumatoid arthritis: P. L. C. M. Van Riel et al., Clin. Rheumatol. 5, 359 (1986); P. E. Prete et al., Clin. Rheumatol. 13, 60 (1994).

Chemical structure

Properties

Yellow crystals. Slight mercaptan-like odor. Sol in water with decompn; slightly sol in propylene glycol. Practically insol in acetone, alcohol, chloroform, ether.

Use

To produce obesity in exptl animals.

Therapeutic Category

Antirheumatic.

Keywords

Antiarthritic/Antirheumatic