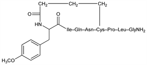
1795. Carbetocin

Nomenclature

CAS number: 37025-55-1
1-Butanoic acid-2-(O-methyl-l-tyrosine)-1-carbaoxytocin; 1-butyric acid-2-[3-(p-methoxyphenyl)-l-alanine]oxytocin; deamino-2-O-methyltyrosine-1-carbaoxytocin; 1-thia-4,7,10,13,16-pentaazacycloeicosane cyclic peptide deriv; 1-desamino-1-monocarba-[2-tyr(OMe)]-OT; (2-O-methyltyrosine)deamino-1-carbaoxytocin; d(COMOT); Depotocin (Nordic); Duratocin (Ferring); Lonactene (Ferring); Pabal (Ferring).
C45H69N11O12S; mol wt 988.16.
C 54.70%, H 7.04%, N 15.59%, O 19.43%, S 3.24%.

Description and references

Synthetic long-acting analog of oxytocin, q.v. Prepn: I. Fric et al., Collect. Czech. Chem. Commun. 39, 1290 (1974); J. H. Cort et al., DE 2732175 (1976 to Czech. Akad. Ved.). Chromatographic properties: M. Lebl, Collect. Czech. Chem. Commun. 45, 2927 (1980). Uterotonic and galactogogic activity: T. Barth et al., ibid. 3045; T. Barth et al., ibid. 46, 2441 (1981). Pharmacokinetics in lactating sows: N. Cort et al., Am. J. Vet. Res. 42, 1804 (1981). Use in regulation of bovine labor: Z. Veznik et al., ibid. 40, 425 (1979). Effect on milk let-down in sows: N. Cort et al., ibid. 43, 1283 (1982). Clinical pharmacology: D. J. S. Hunter et al., Clin. Pharmacol. Ther. 52, 60 (1992). Clinical trials in prevention of postpartum hemorrhage: J. Dansereau et al., Am. J. Obstet. Gynecol. 180, 670 (1999); S. W. Leung et al., BJOG 113, 1459 (2006).

Chemical structure

Properties

Solid from methanol with ether [α]D -69.0° (c = 0.25 in 1M acetic acid).

Therapeutic Category

Oxytocic.

Therapeutic Category (Veterinary)

Oxytocic, stimulates milk let-down.

Keywords

Oxytocic