1875. Caryophyllene

Nomenclature

CAS number: 87-44-5
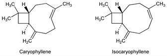
(1R,4E,9S)-4,11,11-Trimethyl-8-methylenebicyclo[7.2.0]undec-4-ene; β-caryophyllene; trans-caryophyllene.
C15H24; mol wt 204.35.
C 88.16%, H 11.84%.

Description and references

Sesquiterpenoid occurring in many essential oils and especially in clove oil, the oils from stems and flowers of Syzygium aromaticum (L.) Merrill & Perry (Jambrosa caryophyllus Niedenzu; Eugenia caryophyllata Thunb.), Myrtaceae. Occurs in nature as a mixture with isocaryophyllene and α-caryophyllene (humulene, q.v.). Isolation of mixture: Schreiner, Kremers, Pharm. Arch. 2, 273, 293 (1899). Existence of isomers: Deussen, Ann. 356, 1 (1907). Structural studies: A. Aebi et al., J. Chem. Soc. 1953, 3124; G. R. Ramage, R. Whitehead, ibid. 1954, 4336. Abs config: D. H. R. Barton, A. Nickon, ibid. 4665. Total synthesis of racemic trans/cis-forms: E. J. Corey et al., J. Am. Chem. Soc. 86, 485 (1964). Rearrangement to isocaryophyllene: Rachlin, DE 2044018 (1971 to I.F.F.), C.A. 75, 49364j (1971). Reviews: Simonsen, The Terpenes vol. III (University Press, Cambridge, 1952) pp 39-71; Barton, de Mayo, Q. Rev. Chem. Soc. 11, 197 (1957); Halsall, ibid. 16, 101 (1962).

Chemical structure

Properties

Liquid. Has a terpene odor about midway between odor of cloves and turpentine. bp14 129-130°; bp9.7 118-119°. [α]D -8 to -9° (chloroform). nD17 1.5009; nD15 1.5030. d417 0.9052.

Derivative

Isocaryophyllene.

Nomenclature

CAS number: 118-65-0
γ-Caryophyllene; cis-caryophyllene.

Properties

Liquid. bp19 130°; bp14.5 125-125.5°. [α]D -24° (chloroform). nD19 1.4966. d19 0.8995.

Use

In perfumery.