4753. Humulene

Nomenclature

CAS number: 6753-98-6
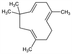
(1E,4E,8E)-2,6,6,9-Tetramethyl-1,4,8-cycloundecatriene; α-humulene; α-caryophyllene.
C15H24; mol wt 204.35.
C 88.16%, H 11.84%.

Description and references

Sesquiterpenoid isomer of caryophyllene, q.v. occurring in many essential oils, especially oil of hops (Humulus lupulus L. Moraceae) and leaves of Lindera strychnifolia (F.) Will Lauraceae. Occurs in nature as a mixture with β-humulene. Isolation of mixture: A. C. Chapman, J. Chem. Soc. 67, 54, 780 (1895). Identity with α-caryophyllene: F. Sorm et al., Collect. Czech. Chem. Commun. 14, 693, 699, 716 (1949). Structure: F. Sorm et al., ibid. 19, 570 (1954). Stereochemistry: A. T. McPhail, G. A. Sim, J. Chem. Soc. B 1966, 112. Synthesis: E. J. Corey, E. Hanamaka, J. Am. Chem. Soc. 89, 2758 (1967). Stereoselective synthesis: Y. Kitagawa et al., ibid. 99, 3864 (1977); E. J. Corey et al., Tetrahedron Lett. 34, 3675 (1993). Chromatographic conversion to β-humulene: V. Benesova et al., Collect. Czech. Chem. Commun. 26, 1832 (1961). Reviews: F. Sorm in Fortschr. Chem. Org. Naturst. 19, 1-32 (1961); Rodd's Chemistry of Carbon Compounds vol. IIC, S. Coffey, Ed., (Elsevier, New York, 2nd ed., 1969) pp 282-283.

Chemical structure

Properties

Liquid. bp5 106-107°. nD30 1.5004, N. P. Damodaran, S. Dev, Tetrahedron 24, 4113 (1968). Also reported as bp10 123°. nD25 1.5015. d425 0.8865, R. P. Hildebrand et al., Chem. Ind. (London) 1959, 489. NMR spectrum: S. Dev et al., J. Am. Chem. Soc. 90, 1246 (1968).

Derivative

Silver nitrate complex.
C15H24.2AgNO3; mol wt 544.10.
C 33.11%, H 4.45%, Ag 39.65%, N 5.15%, O 17.64%.

Properties

Crystals from aq ethanol, mp 175°.

Derivative

β-Humulene.

Nomenclature

CAS number: 116-04-1
(E,E)-1,4,4-Trimethyl-8-methylene-1,5-cycloundecadiene.

Properties

Liquid. nD20 1.5014. d420 0.8905.