1940. Cefpirome

Nomenclature

CAS number: 84957-29-9
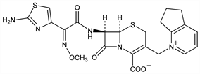
1-[[(6R,7R)-7-[[(2Z)-(2-Amino-4-thiazolyl)(methoxyimino)acetyl]amino]-2-carboxy-8-oxo-5-thia-1-azabicyclo[4.2.0]oct-2-en-3-yl]methyl]-6,7-dihydro-5H-cyclopenta[b]pyrindinium inner salt; 3-[(2,3-cyclopenteno-1-pyridinium)methyl]-7-[2-syn-methoxyimino-2-(2-aminothiazol-4-yl)acetamido]ceph-3-em-4-carboxylate; 1-[[(6R,7R)-7-[2-(2-amino-4-thiazolyl)glyoxylamido]-2-carboxy-8-oxo-5-thia-1-azabicyclo[4.2.0]oct-2-en-3-yl]methyl]-6,7-dihydro-5H-1-pyrindinium hydroxide, inner salt, 72-(Z)-(O-methyloxime); HR-810.
C22H22N6O5S2; mol wt 514.58.
C 51.35%, H 4.31%, N 16.33%, O 15.55%, S 12.46%.

Description and references

Fourth generation cephalosporin antibiotic. Prepn: R. Lattrell et al., GB 2098216 (1982 to Hoechst). Prepn of crystalline salts: W. Dürckheimer, R. Lattrell, US 4609653 (1986 to Hoechst); and in vitro antibacterial activity: G. Seibert et al., Arzneim.-Forsch. 33, 1084 (1983). Physical properties: R. Lattrell et al., Proc. 13th Int. Congr. Chemother. 4, part 99, 1 (1983). Comparative in vitro antibacterial spectrum and β-lactamase stability: H. C. Neu et al., Infection 13, 146 (1985). HPLC determn in serum and urine: H. Uihlein et al., ibid. 16, 135 (1988). Clinical pharmacokinetics: J. Kavi et al., J. Antimicrob. Chemother. 22, 911 (1988). Series of articles on laboratory and clinical evaluations: ibid. 29, Suppl A 1-104 (1992). Toxicity studies: G. Horstmann, K. Engelbart, Arzneim.-Forsch. 40, 1250 (1990); H. H. Donaubauer, D. Mayer, J. Antimicrob. Chemother. 29, Suppl. A, 71 (1992).

Chemical structure

Properties

LD50 in mice, rats (g/kg): 1.9-2.4, 1.9-2.15 i.v.; 3.8-4.2, 5.8-6.55 i.p. (Donaubauer, Mayer).

Derivative

Sulfate.

Nomenclature

CAS number: 98753-19-6
Broact (Shionogi); Cefrom (HMR); Keitin (Chugai).
C22H22N6O5S2.H2SO4; mol wt 612.66.
C 43.13%, H 3.95%, N 13.72%, O 23.50%, S 15.70%.

Properties

Occurs as the monohydrate, crystals, dec 198-202°. [α]25D -4.7° (c = 5 in H2O). uv max: 265 nm (ε 21100). Soly (aq buffer, pH 6.5) >50%.

Therapeutic Category

Antibacterial.

Keywords

Antibacterial (Antibiotics); β-Lactams; Cephalosporins