1943. Cefquinome

Nomenclature

CAS number: 84957-30-2
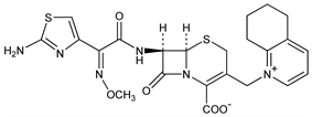
1-[[(6R,7R)-7-[[(2Z)-2-(2-Amino-4-thiazolyl)-2-(methoxyimino)acetyl]amino]-2-carboxy-8-oxo-5-thia-1-azabicyclo[4.2.0]oct-2-en-3-yl]methyl]-5,6,7,8-tetrahydroquinolinium inner salt; HOE-111.
C23H24N6O5S2; mol wt 528.60.
C 52.26%, H 4.58%, N 15.90%, O 15.13%, S 12.13%.

Description and references

Broad-spectrum fourth generation injectable aminothiazolyl cephalosporin. Prepn: BE 893163; R. Lattrell et al., US 5071979 (1982, 1991 both to Hoechst); R. F. Brown et al., J. Med. Chem. 33, 2114 (1990). Antibacterial spectrum and pharmacokinetics in animals: M. Limbert et al., Antimicrob. Agents Chemother. 35, 14 (1991). In vitro activity vs bovine bacterial isolates: A. B"ottner et al., J. Vet. Med. B 42, 377 (1995); vs equine bacterial isolates: E. Thomas et al., Vet. Microbiol. 115, 140 (2006). LC/MS/MS determn in biological fluids: A. Maes et al., J. Mass Spectrom. 42, 657 (2007). Efficacy in the treatment of mastitis in dairy cows: N. Y. Shpigel et al., J. Dairy Sci. 80, 318 (1997); of bovine endometritis: G. S. Amiridis et al., J. Vet. Pharmacol. Ther. 26, 387 (2003).

Chemical structure

Derivative

Sulfate.

Nomenclature

CAS number: 118443-89-3
HR-111V; Cobactan (Intervet).
C23H24N6O5S2.H2SO4; mol wt 626.68.
C 44.08%, H 4.18%, N 13.41%, O 22.98%, S 15.35%.

Therapeutic Category (Veterinary)

Antibacterial.