1944. Cefroxadine

Nomenclature

CAS number: 51762-05-1
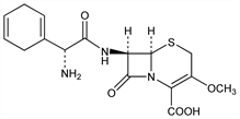
(6R,7R)-7-[[(2R)-Amino-1,4-cyclohexadien-1-ylacetyl]amino]-3-methoxy-8-oxo-5-thia-1-azabicyclo[4.2.0]oct-2-ene-2-carboxylic acid; 7-[d-2-amino-2-(1,4-cyclohexadienyl)acetamide]-3-methoxy-3-cephem-4-carboxylic acid; CGP-9000; Oraspor (Novartis).
C16H19N3O5S; mol wt 365.40.
C 52.59%, H 5.24%, N 11.50%, O 21.89%, S 8.78%.

Description and references

Orally active cephalosporin deriv. Prepn: R. Scartazzini, H. Bickel, DE 2331133; eidem, US 4073902 (1974, 1978 both to Ciba-Geigy). Antibiotic activity: O. Zak et al., J. Antibiot. 29, 653 (1976). In vivo and in vitro microbiological evaluation: K. Yasuda et al., Antimicrob. Agents Chemother. 18, 105 (1980). Pharmacokinetics: T. Bergan, Chemotherapy 26, 225 (1980). Series of articles on activity, toxicity, reproduction studies: Chemotherapy (Tokyo) 28, Suppl 3, 1-335 (1980).

Chemical structure

Properties

Internal salt, mp 170° (dec). [α]D20 +87° (c = 1.093 in 0.1N HCl). uv max (0.1N HCl): 267 nm (ε 6100). LD50 in mice (mg/kg): >6000 orally; 7090 i.p. (Scartazzini, Bickel, 1978).

Therapeutic Category

Antibacterial.

Keywords

Antibacterial (Antibiotics); β-Lactams; Cephalosporins