1945. Cefsulodin

Nomenclature

CAS number: 62587-73-9
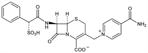
4-(Aminocarbonyl)-1-[[(6R,7R)-2-carboxy-8-oxo-7-[[(2R)-phenylsulfoacetyl]amino]-5-thia-1-azabicyclo[4.2.0]oct-2-en-3-yl]methyl]pyridinium inner salt; 7-(α-sulphophenylacetamido)-3-(4′-carbamoylpyridinium)methyl-3-cephem-4-carboxylic acid.
C22H20N4O8S2; mol wt 532.55.
C 49.62%, H 3.79%, N 10.52%, O 24.03%, S 12.04%.

Description and references

Third generation cephalosporin antibiotic. Prepn: S. Morimoto et al., DE 2234280; eidem, US 4065619 (1973, 1977 both to Takeda). Prepn and separation of isomers: H. Nomura et al., J. Med. Chem. 17, 1312 (1974). In vitro and in vivo antibacterial activity: K. Tsuchiya et al., Antimicrob. Agents Chemother. 13, 137 (1978). Absorption, distribution, excretion in mice, rats, dogs: eidem, J. Antibiot. 31, 593 (1978). Activity and susceptibility to β-lactamases: A. King et al., Antimicrob. Agents Chemother. 17, 165 (1980). In vitro comparison with other antibacterials: H. Grimm, Arzneim.-Forsch. 30, 1478 (1980). Clinical pharmacology: J. Fuellhaas et al., Curr. Chemother., Proc. 10th Int. Congr. Chemother. (Washington, D.C., 1978) 2, 848-851. Review of activity: H. C. Neu, B. E. Scully, Rev. Infect. Dis. 6, Suppl. 3, S667-S677 (1984). Review: A. Bryskier, Lyon Pharm. 34, 343-355 (1983); D. B. Wright, Drug Intell. Clin. Pharm. 20, 845-849 (1986).

Chemical structure

Derivative

Sodium salt.

Nomenclature

CAS number: 52152-93-9
Sulcephalosporin; Abbott 46811; CGP-7174/E; SCE-129; Cefomonil (TAP); Monaspor (Novartis); Pseudocef (Grünenthal); Pyocefal (Cassenne-Takeda); Takesulin (Takeda); Tilmapor (Novartis); Ulfaret (Takeda).
C22H19N4NaO8S2; mol wt 554.53.
C 47.65%, H 3.45%, N 10.10%, Na 4.15%, O 23.08%, S 11.56%.

Properties

Colorless needles from ethanol/water, mp 175° (dec). LD50 in mice (mg/kg): >4000 i.p.; >15000 orally (Bryskier).

Derivative

d-Form sodium salt.

Properties

[α]D23 +16.5° (c = 1.08 in water). uv max (water): 263 nm (ε 14600).

Derivative

l-Form sodium salt.

Properties

[α]D23 -16.8° (c = 1.01 in water).

Therapeutic Category

Antibacterial.

Keywords

Antibacterial (Antibiotics); β-Lactams; Cephalosporins