2044. CHAPS

Nomenclature

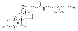
CAS number: 75621-03-3
N,N-Dimethyl-N-(3-sulfopropyl)-3-[[(3α,5β,7α,12α)-3,7,12-trihydroxy-24-oxocholan-24-yl]amino]-1-propanaminium inner salt; 3-[(3-cholamidopropyl)dimethylammonio]-1-propanesulfonate.
C32H58N2O7S; mol wt 614.88.
C 62.51%, H 9.51%, N 4.56%, O 18.21%, S 5.21%.

Description and references

Sulfobetaine zwitterionic derivative of cholic acid, q.v. Prepn: L. M. Hjelmeland, Proc. Natl. Acad. Sci. USA 77, 6368 (1980); idem, US 4372888 (1983 to U.S. Secy. Health and Human Services); and physical properties: L. M. Hjelmeland et al., Anal. Biochem. 130, 72 (1983). Physical characterization: R. E. Stark et al., J. Phys. Chem. 88, 6063 (1984). Micellar properties: M. A. Partearroyo et al., Biochem. Int. 16, 259 (1988). Solubilization of membrane proteins: A. J. Bitonti et al., Biochemistry 21, 3650 (1982); W. Wouters et al., Eur. J. Pharmacol. 115, 1 (1985); L. Bancells et al., Biochem. Pharmacol. 36, 2539 (1987); of opioid receptors: J. Simon et al., J. Neurochem. 46, 695 (1986).

Chemical structure

Properties

Crystals from absolute methanol at 0°.

Derivative

Hydroxy analog.

Nomenclature

CAS number: 82473-24-3
CHAPSO.
C32H58N2O8S; mol wt 630.88.
C 60.92%, H 9.27%, N 4.44%, O 20.29%, S 5.08%.

Properties

White granular detergent.

Use

Nondenaturing biological detergent.