2203. Cholic Acid

Nomenclature

CAS number: 81-25-4
(3α,5β,7α,12α)-3,7,12-Trihydroxycholan-24-oic acid; cholalic acid; 17β-(1-methyl-3-carboxypropyl)etiocholane-3α,7α,12α-triol; Colalin.
C24H40O5; mol wt 408.57.
C 70.55%, H 9.87%, O 19.58%.

Description and references

Occurs in conjugation with glycine or taurine in bile of most vertebrates. Extraction from beef bile: Wieland, Siebert, Z. Physiol. Chem. 262, 1 (1939); laboratory procedure: Gattermann-Wieland, Praxis des Organischen Chemikers (de Gruyter, Berlin, 40th ed., 1961) p 360. Structure and synthesis: Fieser, Fieser, Steroids (Reinhold, New York, 1959).

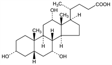
Chemical structure

Derivative

Monohydrate.

Properties

Plates from dil acetic acid. Bitter taste with sweetish aftertaste. When anhydr, mp 198°. [α]D20 +37° (c = 0.6 in alcohol). pK = 6.4. Not precipitated by digitonin. Soly at 15° in water 0.28 g/l; in alcohol 30.56 g/l; in ether 1.22 g/l; in chloroform 5.08 g/l; in benzene 0.36 g/l; in acetone 28.24 g/l; in glacial acetic acid 152.12 g/l. Sol in solns of alkali hydroxides or carbonates.

Derivative

Methyl ester.
C25H42O5; mol wt 422.60.
C 71.05%, H 10.02%, O 18.93%.

Properties

Crystals from 95% alcohol + water, mp 155-156°.

Derivative

Ethyl ester.
C26H44O5; mol wt 436.62.
C 71.52%, H 10.16%, O 18.32%.

Properties

Crystals from ethyl acetate + petr ether, mp 162-163°.

Derivative

Sodium salt.

Nomenclature

Sodium cholate.
C24H39NaO5; mol wt 430.55.
C 66.95%, H 9.13%, Na 5.34%, O 18.58%.

Properties

Crystals. Soly in water at 15°: >568.9 g/l.

Caution

The names “sodium cholate” and “sodium choleate” are sometimes used for mixtures of bile salts. The term “sodium choleate” is to be preferred for bile salts, see Ox Bile Extract.

Note

The property of forming molecular compds is common to bile acids. For instance a blue molecular compd (C24H40O5I)4.KI.H2O, may be prepd by mixing an alcoholic soln of cholic acid and a soln of iodine in aq potassium iodide: Barger, Field, J. Chem. Soc. 101, 1404 (1912).

Therapeutic Category

Choleretic.

Keywords

Choleretic