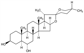
2143. Chlorogenin

Nomenclature

CAS number: 562-34-5
(3β,5α,6α,25R)-Spirostan-3,6-diol.
C27H44O4; mol wt 432.64.
C 74.96%, H 10.25%, O 14.79%.

Description and references

Isoln from bulbs of the California soap plant, amole: Chlorogalum pomeridianum (DC.) Kunth, Liliaceae: Liang, Noller, J. Am. Chem. Soc. 57, 525 (1935). Chlorogenin occurs in amole as a saponin which kills or stuns fish without rendering them inedible. Structure: Marker, Rohrmann, ibid. 61, 947, 3479 (1939); Marker et al., ibid. 62, 2537, 3006 (1940). On hydrogenation the 3β,6β-isomer (β-chlorogenin) is produced.

Chemical structure

Properties

Needles from methanol, mp 273-276°. [α]24546 -52° (chloroform or isopropanol).