2265. Ciclonicate

Nomenclature

CAS number: 53449-58-4
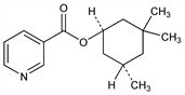
3-Pyridinecarboxylic acid 3,3,5-trimethylcyclohexyl ester; trans-3,3,5-trimethylcyclohexyl nicotinate; cyclonicate; P-350; Bled (Poli).
C15H21NO2; mol wt 247.33.
C 72.84%, H 8.56%, N 5.66%, O 12.94%.

Description and references

Deriv of nicotinic acid, q.v. Prepn: K. Matsuda et al., DE 1910481 (1969 to Takeda), C.A. 72, 12769g (1970); G. Massaroli, DE 2406849 (1974 to Poli), C.A. 82, 4129 (1975). Chromatographic study: G. Sekules et al., Boll. Chim. Farm. 119, 521 (1980). Antilipolytic activity in rats: D. Faini et al., Farmaco Ed. Prat. 36, 478 (1981). In vitro effect on lipolysis: F. Tessari et al., Farmaco Ed. Sci. 36, 1029 (1981). Clinical study: C. Fossati, Gazz. Med. Ital. 139, 43 (1980).

Chemical structure

Properties

Liq, bp0.6 127-128°.

Therapeutic Category

Vasodilator.

Keywords

Vasodilator (Cerebral); Vasodilator (Peripheral)