2298. Cinnamedrine

Nomenclature

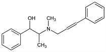
CAS number: 90-86-8
α-[1-[Methyl(3-phenyl-2-propenyl)amino]ethyl]benzenemethanol; N-cinnamylephedrine; α-[1-(N-cinnamyl-N-methylamino)ethyl]benzyl alcohol.
C19H23NO; mol wt 281.39.
C 81.10%, H 8.24%, N 4.98%, O 5.69%.

Description and references

Smooth muscle relaxant. Prepn: Stolz, Flaecher, US 1959392 (1934 to Winthrop Chem.); Welsh, Keenan, J. Am. Pharm. Assoc. Sci. Ed. 30, 123 (1941).

Chemical structure

Derivative

dl-Hydrochloride.
C19H23NO.HCl; mol wt 317.85.
C 71.80%, H 7.61%, N 4.41%, O 5.03%, Cl 11.15%.

Properties

Bitter crystals from ethyl acetate + chloroform, mp 180-185° (base, mp 72-78°). Sol in about 80 parts water and 10 parts alc at 20°, more easily sol at higher temps; sol in 50 parts chloroform; sparingly sol in ether, benzene.

Therapeutic Category

Antispasmodic.

Keywords

Antispasmodic