2339. Clarithromycin

Nomenclature

CAS number: 81103-11-9
6-O-Methylerythromycin; A-56268; TE-031; Biaxin (Abbott); Clarosip (Grünenthal); Cyllind (Abbott); Klacid (Abbott); Klaricid (Abbott); Macladin (Guidotti); Mavid (Abbott); Naxy (Cephalon); Veclam (Malesci); Zeclar (Abbott).
C38H69NO13; mol wt 747.95.
C 61.02%, H 9.30%, N 1.87%, O 27.81%.

Description and references

Semisynthetic macrolide antibiotic; derivative of erythromycin, q.v. Prepn: Y. Watanabe et al., EP 41355; eidem, US 4331803 (1981, 1982 both to Taisho); and in vitro antibacterial activity: S. Morimoto et al., J. Antibiot. 37, 187 (1984). In vitro and in vivo antibacterial activity: P. B. Fernandes et al., Antimicrob. Agents Chemother. 30, 865 (1986). Comparative antibacterial spectrum in vitro: C. Benson et al., Eur. J. Clin. Microbiol. 6, 173 (1987); H. M. Wexler, S. M. Finegold, ibid. 492. HPLC determn in biological fluids: D. Croteau et al., J. Chromatogr. 419, 205 (1987); in plasma: H. Amini, A. Ahmadiani, J. Chromatogr. B 817, 193 (2005). Acute toxicity study: S. Abe et al., Chemotherapy (Tokyo) 36, Suppl. 3, 274 (1988). Symposium on pharmacology and comparative clinical studies: J. Antimicrob. Chemother. 27, Suppl. A, 1-124 (1991). Comprehensive description: I. I. Salem, Anal. Profiles Drug Subs. Excip. 24, 45-85, (1996). Review of pharmacology and clinical applications: K. N. Williams, W. R. Bishai, Expert Opin. Pharmacother. 6, 2867-2876 (2005).

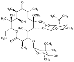
Chemical structure

Properties

Colorless needles from chloroform + diisopropyl ether (1:2), mp 217-220° (dec). Also reported as crystals from ethanol, mp 222-225° (Morimoto). uv max (CHCl3): 288 nm (ε 27.9). uv max (CHCl3): 240, 288 nm; (methanol): 211, 288 nm. [α]D24 -90.4° (c = 1 in CHCl3). Stable at acidic pH. Sol in acetone; slightly sol in methanol, ethanol, acetonitrile. Practically insol in water. LD50 in male, female mice, male, female rats (mg/kg): 2740, 2700, 3470, 2700 orally, 1030, 850, 669, 753 i.p., >5000 all s.c. (Abe).

Therapeutic Category

Antibacterial.

Therapeutic Category (Veterinary)

Antibacterial.

Keywords

Antibacterial (Antibiotics); Macrolides