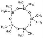
2848. Decamethylcyclopentasiloxane

Nomenclature

CAS number: 541-02-6
D5.
C10H30O5Si5; mol wt 370.77.
C 32.39%, H 8.16%, O 21.58%, Si 37.87%.

Description and references

Cyclic siloxane. Isolated from the hydrolysis product of dimethyldichlorosilane: W. Patnode, D. F. Wilcock, J. Am. Chem. Soc. 68, 358 (1946). HPLC determn and GC-MS characterization of metabolites in urine: S. Varaprath et al., Drug Metab. Dispos. 31, 206 (2003). Physicochemical properties: M. Palczewska-Tulinska, P. Oracz, J. Chem. Eng. Data 50, 1711 (2005).

Chemical structure

Properties

Colorless volatile liquid. mp -38°. bp760 210°; bp20 101°. d 0.9593. nD20 1.3982. Soly in water: 17 ppb. Vapor pressure (50°): 2 mm Hg.

Use

Intermediate in the mfr of high mol wt siloxane polymers. Carrier ingredient in personal care products; dry cleaning solvent.