3207. Dimenhydrinate

Nomenclature

CAS number: 523-87-5
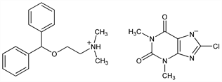
8-Chloro-3,7-dihydro-1,3-dimethyl-1H-purine-2,6-dione compd with 2-(diphenylmethoxy)-N,N-dimethylethanamine (1:1); β-dimethylaminoethyl benzhydryl ether 8-chlorotheophyllinate; 2-(benzhydryloxy)-N,N-dimethylethylamine 8-chlorotheophyllinate; O-benzhydryldimethylaminoethanol 8-chlorotheophyllinate; 2-(diphenylmethoxy)-N,N-dimethylethylamine 8-chlorotheophyllinate; diphenhydramine teoclate; chloranautine; Amosyt (Abigo); Antemin (Streuli); Dramamine (Pfizer); Gravol (Church & Dwight); Nausicalm (Brothier); Travel-Gum (Meda); Vomex A (Astellas); Xamamina (Bracco).
C24H28ClN5O3; mol wt 469.96.
C 61.34%, H 6.01%, Cl 7.54%, N 14.90%, O 10.21%.

Description and references

Antihistamininic salt of diphenhydramine with 8-chlorotheophylline. Prepn: J. W. Cusic, US 2499058 (1950 to Searle); idem, Science 109, 574 (1949) PubMed. Efficacy in motion sickness: L. N. Gay, P. E. Carliner, ibid. 359 PubMed. HPLC-MS/MS determn in plasma: V. Tavares et al., J. Chromatogr. B 853, 127 (2007) DOI PubMed. Clinical trial in treatment of vertigo: K. A. Marill et al., Ann. Emerg. Med. 36, 310 (2000) DOI PubMed. Review of clinical trials in postoperative nausea and vomiting: P. Kranke et al., Acta Anaesthesiol. Scand. 46, 238-244 (2002) DOI PubMed; of abuse potential: A. G. Halpert et al., Neurosci. Biobehav. Rev. 26, 61-67 (2002) DOI PubMed.

Chemical structure

Properties

Crystals from hot alcohol, mp 103-104°. Freely sol in alcohol, chloroform; sol in benzene. Soly in water: about 3 mg/ml. Almost insol in ether. A satd aq soln has a pH between 6.8 and 7.3.

Therapeutic Category

Antiemetic; antivertigo agent; in treatment of motion sickness.

Therapeutic Category (Veterinary)

Antiemetic.

Keywords

Antiemetic; Antivertigo