3354. Dirithromycin

Nomenclature

CAS number: 62013-04-1
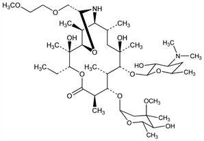
(1R,2R,3R,6R,7S,8S,9R,10R,12R,13S,15R,17S)-7-[(2,6-Dideoxy-3-C-methyl-3-O-methyl-α-l-ribo-hexopyranosyl)oxy]-3-ethyl-2,10-dihydroxy-15-[(2-methoxyethoxy)methyl]-2,6,8,10,12,17-hexamethyl-9-[[3,4,6-trideoxy-3-(dimethylamino)-β-d-xylo-hexopyranosyl]oxy]-4,16-dioxa-14-azabicyclo[11.3.1]heptadecan-5-one; [9S(R)]-9-deoxo-11-deoxy-9,11-[imino[2-(2-methoxyethoxy)ethylidene]oxy]erythromycin; LY-237216; AS-E 136; Dynabac (Lilly); Noriclan (Lilly); Nortron (Lilly); Valodin (Ferrer).
C42H78N2O14; mol wt 835.07.
C 60.41%, H 9.41%, N 3.35%, O 26.82%.

Description and references

Semi-synthetic derivative of erythromycin, q.v. Prepn: BE 840431 (1976 to Thomae); R. Maier et al., US 4048306 (1977 to Boehringer, Ing.). Synthesis, 1H- and 13C-NMR, and antimicrobial evaluation: F. T. Counter et al., Antimicrob. Agents Chemother. 35, 1116 (1991). X-ray structure determn: P. Luger, R. Maier, J. Cryst. Mol. Struct. 9, 329 (1979). HPLC determn in plasma: G. W. Whitaker, T. D. Lindstrom, J. Liq. Chromatogr. 11, 3011 (1988). Symposium on antibacterial activity, pharmacology, and clinical experience: J. Antimicrob. Chemother. 31, Suppl. C, 1-185 (1993).

Chemical structure

Properties

Crystals from ethanol/water, mp 186-189° (dec) (Counter). pKa 9.0 in 66% aq dimethyl fluoride. LD50 in mice (g/kg): >1 s.c.; >1 orally (Maier).

Therapeutic Category

Antibacterial.

Keywords

Antibacterial (Antibiotics); Macrolides