3362. Distigmine Bromide

Nomenclature

CAS number: 15876-67-2
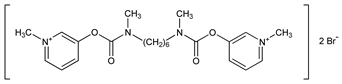
3,3′-[1,6-Hexanediylbis[(methylimino)carbonyl]oxy]bis[1-methylpyridinium]dibromide; 3-hydroxy-1-methylpyridinium bromide hexamethylenebis[methylcarbamate]; hexamethylenebis[methylcarbamic acid] ester of 3-hydroxy-1-methylpyridinium bromide; hexamethylenebis[N-methylcarbamic acid ester bromomethylate]; hexamethylenebis[N-methylcarbaminoyl-1-methyl-3-hydroxypyridinium bromide]; hexamarium; BC-51; Ubretid (Nycomed).
C22H32Br2N4O4; mol wt 576.32.
C 45.85%, H 5.60%, Br 27.73%, N 9.72%, O 11.10%.

Description and references

Prepn: Schmid, US 2789981 (1957 to Oesterr. Stickstoffwerke). Pharmacology: Hertting et al., Arzneim.-Forsch. 18, 479 (1968); Hohenegger, Lindner, Wien. Klin. Wochenschr. 81, 823 (1969). Stability studies: Suzuki, Tanimura, Yakugaku Zasshi 90, 762 (1970).

Chemical structure

Properties

Crystals, dec 149°.

Therapeutic Category

Cholinesterase inhibitor.

Keywords

Cholinesterase Inhibitor