3560. Emodepside

Nomenclature

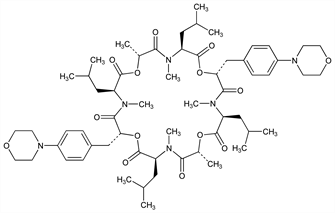
CAS number: 155030-63-0
Cyclo[(αR)-α-hydroxy-4-(4-morpholinyl)benzenepropanoyl-N-methyl-l-leucyl-(2R)-2-hydroxypropanoyl-N-methyl-l-leucyl-(αR)-α-hydroxy-4-(4-morpholinyl)benzenepropanoyl-N-methyl-l-leucyl-(2R)-2-hydroxypropanoyl-N-methyl-l-leucyl]; Bay-44-4400; PF-1022-221.
C60H90N6O14; mol wt 1119.39.
C 64.38%, H 8.10%, N 7.51%, O 20.01%.

Description and references

Cyclic octadepsipeptide that binds to presynaptic latrophilin receptors in nematodes. Semisynthetic derivative of PF1022A, a fungal metabolite of Mycelia sterilia. Prepn: H. Nishiyama et al., WO 9319053; eidem, US 5514773 (1993, 1996 both to Fujisawa). In vivo anthelmintic activity: A Harder, G. von Samson-Himmelstjerna, Parasitol. Res. 87, 924 (2001); H. Zahner et al., Int. J. Parasitol. 31, 1515 (2001). Review of mechanism of action studies: A. Harder et al., Parasitol. Res. S1-S10 (2005).

Chemical structure

Properties

White to yellowish powder. Soly in water: 8.1 mg/l (pH 4); 5.2 mg/l (pH 7), 6.1 mg/l (pH 10). Log P (octanol/water): 4.9 (pH 7).

Derivative

Combination with praziquantel.

Nomenclature

Profender (Bayer).

Description and references

Series of articles on therapeutic use in cats, reptiles and rodents: Parasitol. Res. 97, S33-S69 (2005).

Therapeutic Category (Veterinary)

Anthelmintic (Nematodes and Cestodes).