3624. Epitiostanol

Nomenclature

CAS number: 2363-58-8
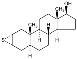
(2α,3α,5α,17β)-2,3-Epithioandrostan-17-ol; 10275-S; Thiodrol (Shionogi).
C19H30OS; mol wt 306.51.
C 74.45%, H 9.87%, O 5.22%, S 10.46%.

Description and references

Episulfide deriv of androstane, q.v. Prepn: GB 977599; T. Komeno, US 3230215 (1964, 1966 both to Shionogi); K. Takeda et al., Tetrahedron 1965, 329; P. D. Klimstra et al., J. Med. Chem. 9, 693 (1966). Antitumor effect in mice: A. Matsuzawa, T. Yamamoto, Cancer Res. 37, 4408 (1977). Teratogenicity study: T. Minesita et al., Oyo Yakuri 7, 723 (1973), C.A. 80, 116474p (1974). Toxicity study: eidem, ibid. 805, C.A. 80, 66865u (1974). Use in treatment of breast cancer: M. Fujimoro et al., Cancer 31, 789 (1973).

Chemical structure

Properties

Crystals from acetone, mp 127-128°. [α]D27.5 +24.4° (c = 1.054 in chloroform). uv max (alcohol): 262 nm. LD50 in mice, rats (mg/kg): 1, 5 i.p. (Minesita, p 805).

Therapeutic Category

Antineoplastic.

Keywords

Antineoplastic (Hormonal); Androgens