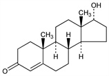
10204. Epitestosterone

Nomenclature

CAS number: 481-30-1
(17α)-17-Hydroxyandrost-4-en-3-one; cis-testosterone.
C19H28O2; mol wt 288.42.
C 79.12%, H 9.79%, O 11.09%.

Description and references

Naturally occurring, non-anabolic 17α-epimer of testosterone, q.v. Isoln from rabbit liver slices: L. C. Clark, Jr., C. D. Kochakian, J. Biol. Chem. 170, 23 (1947). Synthesis: F. Alvarez, Steroids 2, 393 (1963) DOI. Isoln from human urine: S. G. Korenman et al., J. Biol. Chem. 239, 1004 (1964) PubMed. Crystal structure: N. W. Isaacs et al., J. Chem. Soc. Perkin Trans. 2 1972, 2335 DOI. HPLC/MS/MS determn of epitestosterone and testosterone conjugates in urine: D. J. Borts, L. D. Bowers, J. Mass Spectrom. 35, 50 (2000) DOI PubMed. Isotope ratio MS determn in urine: R. Aguilera et al., Clin. Chem. 48, 629 (2002) PubMed. Review of physiological properties: L. Stárka, J. Steroid Biochem. Mol. Biol. 87, 27-34 (2003) DOI PubMed.

Chemical structure

Properties

White needles, mp 218-221° (Clark, Kochakian). Also reported as crystals from acetone, mp 211-215° (Alvarez). uv max (ethanol): 240 nm (ε 15500). d 1.14.

Note

This is a controlled substance (anabolic steroid): 21 CFR, 1308.13, as defined in 1300.01.

Use

Reference standard in doping control of testosterone abuse.