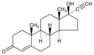
3741. Ethisterone

Nomenclature

CAS number: 434-03-7
17α-Hydroxypregn-4-en-20-yn-3-one; 17α-ethynyltestosterone; 17α-ethynyl-17β-hydroxy-4-androsten-3-one; 17α-ethinyltestosterone; 17α-ethynyl-4-androsten-17β-ol-3-one; anhydrohydroxyprogesterone; pregneninolone.
C21H28O2; mol wt 312.45.
C 80.72%, H 9.03%, O 10.24%.

Description and references

Synthetic progestogen; metabolite of danazol, q.v.; intermediate in the synthesis of spironolactone, q.v. Prepn: Inhoffen et al., Ber. 71, 1024 (1938). Crystal structure and photostability study: J. Reisch et al., Monatsh. Chem. 124, 1169 (1993). GC/MS characterization as a metabolite of danazol: J. Y. Kim et al., J. Vet. Pharmacol. Ther. 24, 147 (2001). HPLC/CD determn of isomers: D. Szegvári et al., Anal. Bioanal. Chem. 375, 713 (2003).

Chemical structure

Properties

Crystals from ethyl acetate, mp 269-275°. Sublimes in high vacuum at 190-195°. [α]D23 +23.8° (dioxane); [α]D25 -32.0° (pyridine). Crystal density: 1.220 g/cm3. uv max (methanol): 241 nm (E1%1cm 513). Practically insol in water. Slightly sol in alcohol, acetone, ether, chloroform, vegetable oils.