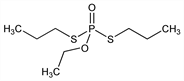
3746. Ethoprop

Nomenclature

CAS number: 13194-48-4
Phosphorodithioic acid O-ethyl S,S-dipropyl ester; O-ethyl S,S-dipropylphosphorodithioate; ethoprophos; VC9-104; Mocap (Bayer CropSci.).
C8H19O2PS2; mol wt 242.34.
C 39.65%, H 7.90%, O 13.20%, P 12.78%, S 26.46%.

Description and references

Prepn: L. E. Goyette, US 3112244 (1963 to Virginia-Carolina Chem. Corp.); J. H. Wilson, Jr., US 3268393 (1966 to Mobil). Activity: C. R. Harris, J. L. Hitchon, J. Econ. Entomol. 63, 2 (1970). Metabolism: Z. M. Iqbal, R. E. Menzer, Biochem. Pharmacol. 21, 1569 (1972). Soil degradation: J. H. Smelt et al., Pestic. Sci. 8, 147 (1977).

Chemical structure

Properties

Pale yellow oil, bp0.2 86-91°. d420 1.094. Vapor press. at 26°: 3.5 × 10-4 mm Hg. Soly in water: 750 mg/l. Sol in most organic solvents.

Use

Insecticide; nematocide.