3809. Ethylhexyl Triazone

Nomenclature

CAS number: 88122-99-0
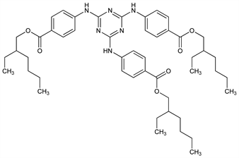
4,4′,4″-(1,3,5-Triazine-2,4,6-triyltriimino)trisbenzoic acid tris(2-ethylhexyl) ester; octyl triazone; 2,4,6-trianilino-p-(carbo-2′-ethylhexyl-1′-oxy)-1,3,5-triazine; Uvinul T 150 (BASF).
C48H66N6O6; mol wt 823.07.
C 70.04%, H 8.08%, N 10.21%, O 11.66%.

Description and references

Substituted s-triazine; uv absorber in cosmetic sunscreen products. Prepn: U. Hoppe et al., EP 87098; eidem, US 4617390 (1983, 1986 both to BASF). HPLC determn in cosmetic products: L. Gagliardi et al., Anal. Lett. 23, 2123 (1990). Photochemical study: L. Douarre et al., J. Photochem. Photobiol. A 96, 71 (1996).

Chemical structure

Properties

Crystals from gasoline, mp 128°. uv max (ethanol): 218.7, 313.3 nm (E1%1cm 456, 1585). Readily sol in polar cosmetic oils.

Therapeutic Category

Ultraviolet screen.

Keywords

Ultraviolet Screen