3995. Fenprostalene

Nomenclature

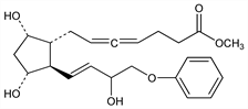
CAS number: 69381-94-8
(4S)-rel-7-[(1R,2R,3R,5S)-3,5-Dihydroxy-2-[(1E,3R)-3-hydroxy-4-phenoxy-1-butenyl]cyclopentyl]-4,5-heptadienoic acid methyl ester; (±)-9α,11α,15α-trihydroxy-16-phenoxy-17,18,19,20-tetranorprosta-4,5,13-trans-trienoic acid methyl ester; RS-84043; Bovilene (Syntex); Porcilene (Syntex); Synchrocept B (Syntex).
C23H30O6; mol wt 402.48.
C 68.64%, H 7.51%, O 23.85%.

Description and references

Synthetic analog of prostaglandin F, related structurally to prostalene, q.v. Prepn: J. M. Muchowski, J. H. Fried, US 3985791; A. R. Van Horn et al., US 4178457 (1976, 1979 both to Syntex). Effect on pregnancy in beagles: B. Vickery, G. McRae, Biol. Reprod. 22, 438 (1980). Duration of action study: B. H. Vickery et al., Prostaglandins Med. 5, 93 (1980).

Chemical structure

Properties

uv max (methanol): 220, 265, 271, 278 nm (log ε 3.99, 3.11, 3.23, 3.16).

Therapeutic Category (Veterinary)

Luteolytic.