4260. Fosthiazate

Nomenclature

CAS number: 98886-44-3
(2-Oxo-3-thiazolidinyl)phosphonothioic acid O-ethyl S-(1-methylpropyl) ester; S-sec-butyl-O-ethyl(2-oxo-3-thiazolidinyl)phosphonothioate; IKI-1145; ASC-66824; Nemathorin (Ishihara Sangyo).
C9H18NO3PS2; mol wt 283.35.
C 38.15%, H 6.40%, N 4.94%, O 16.94%, P 10.93%, S 22.63%.

Description and references

Non-fumigant insecticide and nematicide. Prepn: T. Haga et al., EP 146748; eidem, US 4590182 (1985, 1986 both to Ishihara Sangyo Kaisha); and pesticidal activity: T. Koyanagi et al., J. Pestic. Sci. 22, 187 (1997). Activity of isomers: idem et al., ACS Symp. Ser. 443, 387 (1991). Field trial in potatoes: J. Kimpinski et al., J. Nematol. 29, Suppl. 4, 685 (1997). Mode of action: S. R. Woods et al., Ann. Appl. Biol. 135, 409 (1999). Review of physical properties, mode of action, and biological characteristics: T. Toki, O. Imai, Agrochem. Jpn. 65, 13 (1994).

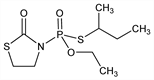
Chemical structure

Properties

Pale yellow oil. bp0.5 198°. n19.6D 1.5334. Soly in water at 20°: 9.85 g/l. Vapor pressure at 25°: 4.2 × 106 mmHg. LD50 in male, female mice, male, female rats (mg/kg): 104, 91, 73, 57 orally; in male, female rats (mg/kg): 2396, 861 dermally. LC50 in male, female rats (mg/l): 0.832, 0.558 by inhalation (Toki).

Use

Nematicide.