4322. Gadobenate Dimeglumine

Nomenclature

CAS number: 127000-20-8
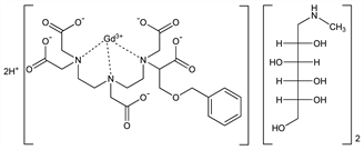
1-Deoxy-1-(methylamino)-d-glucitol [4-(carboxy-κO)-5,8,11-tris[(carboxy-κO)methyl]-1-phenyl-2-oxa-5,8,11-triazatridecan-13-oato(5)-κN5N8N11O13]gadolinate(2) (2:1); gadolinium benzyloxypropionictetraacetate dimeglumine; Gd-BOPTA/Dimeg; B-19036/7; MultiHance (Bracco).
C36H62GdN5O21; mol wt 1058.15.
C 40.86%, H 5.91%, Gd 14.86%, N 6.62%, O 31.75%.

Description and references

Intravascular paramagnetic MRI contrast agent. Prepn: E. Felder et al., EP 230893; eidem, US 4916246 (1987, 1990 both to Bracco); F. Ungerri et al., Inorg. Chem. 34, 633 (1995). HPLC determn in biological samples: T. Arbughi et al., J. Chromatogr. B 713, 415 (1998). Physicochemical properties: C. de Haen et al., J. Comput. Assist. Tomogr. 23, Suppl. 1, S161 (1999). Pharmacology: P. Tirone et al., ibid. S195. Pharmacokinetics: V. Lorusso et al., ibid. S181. Toxicology: A. Morisetti et al., ibid. S207. Clinical study in MRI of liver lesions: J. Petersein et al. Radiology 215, 727 (2000). Review of clinical studies: B. Hamm et al., J. Comput. Assist. Tomogr. 23, Suppl. 1, S53-S60 (1999).

Chemical structure

Properties

Hygroscopic powder. mp 124°. Freely sol in water, sol in methanol. Practically insol in n-butanol, n-octanol, chloroform. Abs max 257.8 nm (ε 203). [α]36520 26.9° (c = 1.45 in water). Prepd as 0.5M soln, osmolality (37°) 1.97 mol/kg. d20 1.22. Viscosity (mPa.s): 9.2 (20°), 5.3 (37°). LD50 i.v. in mice (mmol/kg): 5.7 (at 1 mL/min), 7.9 (at 0.2 mL/min); LD50 i.v. in rats (mmol/kg): 6.6 (at 6 mL/min), 9.2 (at 1 mL/min) (Morisetti).

Therapeutic Category

Diagnostic aid (MRI contrast agent).

Keywords

Diagnostic Aid (MRI Contrast Agent)