4432. F-Gitonin

Nomenclature

CAS number: 28591-01-7
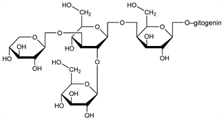
Gitogenin β-lycotetraoside.
C50H82O23; mol wt 1051.17.
C 57.13%, H 7.86%, O 35.01%.

Description and references

Leaf saponin from Digitalis purpurea L., Scrophulariaceae: Kawasaki, Nishioka, Chem. Pharm. Bull. 12, 1311 (1964). Structure: Kawasaki et al., Tetrahedron 21, 299 (1965). A gitogenin tetraglycoside of which the sugar composition is 2 moles d-glucose, 1 mole d-galactose, and 1 mole d-xylose; differs from gitonin (the gitogenin tetraglycoside in D. purpurea seeds), in which the sugar composition is 2 galactose, 1 glucose, and 1 xylose: Tschesche, Wulff, Ber. 94, 2019 (1961).

Chemical structure

Derivative

Dihydrate.

Properties

Needles from butanol + water, dec 252-255°. [α]D25 58.5° (c = 0.53 in pyridine).