4434. Gitoxin

Nomenclature

CAS number: 4562-36-1
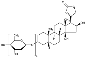
(3β,5β,16β)-3-[(O-2,6-Dideoxy-β-d-ribo-hexopyranosyl-(1→4)-O-2,6-dideoxy-β-d-ribo-hexopyranosyl-(1→4)-2,6-dideoxy-β-d-ribo-hexopyranosyl)oxy]-14,16-dihydroxycard-20(22)-enolide; anhydrogitalin; bigitalin; pseudodigitoxin.
C41H64O14; mol wt 780.94.
C 63.06%, H 8.26%, O 28.68%.

Description and references

Secondary glycoside mainly from Digitalis purpurea L., also from D. lanata Ehrh., Scrophulariaceae. Byproduct of digitoxin manuf. Isoln: Kraft, Arch. Pharm. 250, 118 (1912); Cloetta, Arch. Exp. Pathol. Pharmakol. 112, 261 (1926); Smith, J. Chem. Soc. 1931, 23. Purification: McChesney et al., J. Am. Pharm. Assoc. 37, 364 (1948). Acid hydrolysis yields 1 mol gitoxigenin + 3 mols digitoxose, q.q.v.: Windaus, Schwarte, Ber. 58, 1515 (1925). See also Satoh, Aoyama, Chem. Pharm. Bull. 18, 94 (1970). Pharmacokinetics in humans: M. Lesne, Int. J. Clin. Pharmacol. Biopharm. 16, 456 (1978). Prepn of pentaacetate: BE 668116; NL 6506250 (1965, 1966 both to VEB Arzneimittelwerk Dresden), C.A. 65, 23366 (1966); 67, 91092d (1967). Toxicity study: Foerster et al., Arch. Int. Pharmacodyn. 155, 165 (1965). Review: R. Megges et al., Pharmazie 32, 665-667 (1977).

Chemical structure

Properties

Stout prisms from chloroform + methanol, dec 285° (rapid heating). [α]20546 +3.5° (c = 1.02 in pyridine). Absorption max (98% H2SO4): 315, 415, 495, 530 nm (E1%1cm 275, 185, 430, 505). Almost insol in chloroform, ethyl acetate and acetone. Dissolves in a mixture of chloroform and alcohol or in pyridine or in dil alcohol. Less sol in hot 80% alcohol than digoxin.

Derivative

α- and β-Acetylgitoxin.
C43H66O15; mol wt 822.98.
C 62.75%, H 8.08%, O 29.16%.

Properties

Obtained by enzymatic hydrolysis of digilanide B. β-Form: Long, thin, hair-like prisms from dil methanol, dec 220-225°. [α]D20 +15.7° (c = 1.28 in pyridine). Sol in 80-100 parts methanol; sparingly sol in water and ether.

Derivative

Pentaacetate.

Nomenclature

CAS number: 7242-04-8
Pengitoxin; penta-O-acetylgitoxin; Carnacid-Cor (TAD); Cordoval (Tempelhof); Pentagit (Berlin-Chemie).
C51H74O19; mol wt 991.12.
C 61.80%, H 7.53%, O 30.67%.

Description and references

Mass spectral studies: Blessington, Morton, Org. Mass Spectrom. 3, 95 (1970).

Properties

Rhomboid crystals, mp 151-155°. [α]D20 +14.0 ±1.5° (c = 1.6 in pyridine). LD50 in mice (mg/kg): 6.4 i.p.; in rats (mg/kg): 21.0 i.v. (Foerster).

Therapeutic Category

Cardiotonic.

Keywords

Cardiotonic