4441. Gliotoxin

Nomenclature

CAS number: 67-99-2
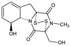
(3R,5aS,6S,10aR)-2,3,5a,6-Tetrahydro-6-hydroxy-3-(hydroxymethyl)-2-methyl-10H-3,10a-epidithiopyrazino[1,2-a]indole-1,4-dione.
C13H14N2O4S2; mol wt 326.39.
C 47.84%, H 4.32%, N 8.58%, O 19.61%, S 19.65%.

Description and references

Antibiotic substance produced by various spp of Trichoderma, Gladiocladium fimbriatum, Aspergillus fumigatus, and Penicillium spp: Weindling, Emerson, Phytopathology 26, 1068 (1936); 27, 1175 (1937); Johnson et al., J. Am. Chem. Soc. 65, 2005 (1943); Menzel et al., J. Biol. Chem. 152, 419 (1944). Structure: Bell et al., J. Am. Chem. Soc. 80, 1001 (1958); Beecham et al., Tetrahedron Lett. 1966, 3131. Crystallographic data: McCrone, Anal. Chem. 26, 1662 (1954). Biosynthesis: Suhadolnik, Chenoweth, J. Am. Chem. Soc. 80, 4391 (1958); Winstead, Suhadolnik, ibid. 82, 1644 (1960); J. D. M. Herscheid et al., J. Org. Chem. 45, 1885 (1980). Synthetic studies: Poisel, Schmidt, Ber. 104, 1714 (1971); ibid. 105, 625 (1972); Oehler et al., ibid. 625. Total synthesis of dl-form: T. Fukuyama, Y. Kishi, J. Am. Chem. Soc. 98, 6723 (1976); T. Fukuyama et al., Tetrahedron 37, 2045 (1981).

Chemical structure

Properties

Monoclinic needles from methanol or benzene, dec 221°. [α]D25 290° (c = 0.08 in ethanol). uv max: 270 nm (ε 4500). Soly in mg/ml at 7°: acetic acid 12; acetone 9.0; acetonitrile 10.2; benzene 5.5; carbon tetrachloride 0.8; chloroform 20; dioxane 73 (decompn); dimethylformamide 17; ethyl acetate 8.5; ethanol 4.7; methanol 1.4; pyridine 77; water (30°): 0.07. Sensitive to oxidation and heat; inactivated by heating for 10 min at 100°.

Derivative

Monoacetate.
C15H16N2O5S2; mol wt 368.43.
C 48.90%, H 4.38%, N 7.60%, O 21.71%, S 17.41%.

Description and references

Isolated from cultures of Penicillium terlikowski Zaleski: Johnson et al., J. Am. Chem. Soc. 75, 2110 (1953).

Properties

Orthorhombic crystals from benzene, mp 162-163°.