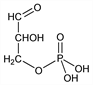
4482. Glyceraldehyde 3-Phosphate

Nomenclature

CAS number: 142-10-9
2-Hydroxy-3-(phosphonooxy)propanal; 3-phosphoglyceraldehyde.
C3H7O6P; mol wt 170.06.
C 21.19%, H 4.15%, O 56.45%, P 18.21%.

Description and references

An intermediate product of carbohydrate metabolism. Prepn of dl-form by enzymatic route: Meyerhof, Junowicz-Kocholaty, J. Biol. Chem. 149, 71 (1943); by reductive cleavage of glyceraldehyde 1-benzyl ether 3-phosphoric acid: Fischer, Baer, Ber. 65, 337, 1040 (1932); by hydrolysis of dimeric glyceraldehyde 1,3-diphosphoric acid: Baer, Fischer, J. Biol. Chem. 150, 213 (1943); by hydrolysis of dimeric glyceraldehyde 1-bromide 3-phosphoric acid: ibid. 223. See also Baer in Biochem. Prep. 1, 50 (1949). Prepn of d-form by enzymatic route: Meyerhof, Junowicz-Kocholaty, loc. cit.; by synthetic route: Ballou, Fischer, J. Am. Chem. Soc. 77, 3329 (1955).

Chemical structure

Derivative

dl-Form calcium salt dihydrate.
C3H5CaO6P.2H2O; mol wt 244.15.
C 14.76%, H 3.72%, Ca 16.42%, O 52.42%, P 12.69%.

Properties

Crystals, sol in water. Aq solns are not stable, particularly when alkaline. The dioxane addition compd of dl-glyceraldehyde 1-bromide 3-phosphoric acid described by Baer is relatively stable and may be stored in the refrigerator. An aq soln of the Na or K salt of glyceraldehyde-3-phosphoric acid (contg dioxane and bromide ion) is readily obtained by dissolving the dioxane compd in cold water and carefully neutralizing to pH 7.

Derivative

d-Form calcium salt dihydrate.

Properties

Amorphous powder. [α]D25 +14.5° (c = 1.2 in 0.1N HCl calcd as the free acid). Prepn of calcium-free aq soln: Ballou, Fischer, loc. cit.