4892. Idraparinux Sodium

Nomenclature

CAS number: 149920-56-9; 162610-17-5 (Idraparinux)
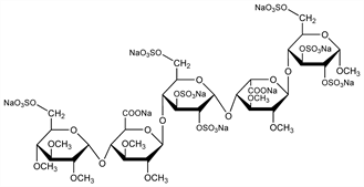
Methyl O-2,3,4-tri-O-methyl-6-O-sulfo-α-d-glucopyranosyl-(1→4)-O-2,3-di-O-methyl-β-d-glucopyranuronosyl-(1→4)-O-2,3,6-tri-O-sulfo-α-d-glucopyranosyl-(1→4)-O-2,3-di-O-methyl-α-l-idopyranuronosyl-(1→4)-α-d-glucopyranoside 2,3,6-tris(hydrogen sulfate) nonasodium salt; Org-34006; SANORG-34006; SR-34006.
C38H55Na9O49S7; mol wt 1727.18.
C 26.42%, H 3.21%, Na 11.98%, O 45.39%, S 13.00%.

Description and references

Synthetic pentasaccharide that inhibits factor Xa; analog of fondaparinux sodium, q.v. Prepn: M. Petitou, C. A. van Boeckel, EP 0529715; eidem, US 5378829 (1993, 1995 both to Akzo; Sanofi); P. Westerduin et al., Bioorg. Med. Chem. 2, 1267 (1994). Biochemical and pharmacological properties: J. M. Herbert et al., Blood 91, 4197 (1998). Comparative pharmacokinetics in rats: J. P. Hérault et al., Thromb. Haemostasis 87, 985 (2002). Clinical pharmacology and reversal by factor VIIa: N. R. Bijsterveld et al., Br. J. Haematol. 124, 653 (2004). Review of clinical development: Q. Ma, J. Fareed, IDrugs 7, 1028-1034 (2004).

Chemical structure

Properties

[α]D20 +55° (c = 1 in water).

Therapeutic Category

Antithrombotic.

Keywords

Antithrombotic