4919. Imipenem

Nomenclature

CAS number: 64221-86-9
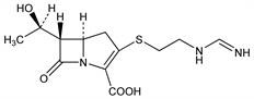
(5R,6S)-6-[(1R)-1-Hydroxyethyl]-3-[[2-[(iminomethyl)amino]ethyl]thio]-7-oxo-1-azabicyclo[3.2.0]hept-2-ene-2-carboxylic acid; N-formimidoylthienamycin; imipemide.
C12H17N3O4S; mol wt 299.35.
C 48.15%, H 5.72%, N 14.04%, O 21.38%, S 10.71%.

Description and references

Broad-spectrum semi-synthetic carbapenem antibiotic; first stable derivative of thienamycin, q.v. Prepn: W. J. Leanza et al., J. Med. Chem. 22, 1435 (1979); B. G. Christensen et al., BE 848545; eidem, US 4194047 (1977, 1980 both to Merck & Co.); of crystalline form: T. W. Miller, EP 6639; eidem, US 4260543 (1980, 1981 both to Merck & Co.). Total synthesis without formation of thienamycin: I. Shinkai et al., Tetrahedron Lett. 23, 4903 (1982). Antimicrobial activity: S. Ishihara et al., Int. J. Antimicrob. Agents 19, 565 (2002). HPLC determn in serum: C. M. Myers, J. L. Blumer, Antimicrob. Agents Chemother. 26, 78 (1984); in pharmaceutical formulations: R. J. Forsyth, D. P. Ip, J. Pharm. Biomed. Anal. 12, 1243 (1994). Pharmacokinetics in dogs: C. W. Barker et al., Am. J. Vet. Res. 64, 694 (2003). Series of articles on in vitro activity, pharmacokinetics, clinical efficacy of combination with cilastatin sodium, q.v., a renal dehydropeptidase I inhibitor: J. Antimicrob. Chemother. 12, Suppl. D, 1-155 (1983); Rev. Infect. Dis. 7, Suppl. 3, S389-S536 (1985); Am. J. Med. 78, Suppl. 6A, 1-167 (1985). Comprehensive description: E. R. Oberholtzer, Anal. Profiles Drug Subs. 17, 73-114 (1988); M. M. Buckley et al., Drugs 44, 408-444 (1992).

Chemical structure

Derivative

Monohydrate.

Nomenclature

CAS number: 74431-23-5
MK-787.
C12H17N3O4S.H2O; mol wt 317.36.
C 45.41%, H 6.03%, N 13.24%, O 25.21%, S 10.10%.

Properties

Off-white, nonhygroscopic crystals from water-ethanol. [α]D25 +86.8° (c = 0.05 in 0.1M phosphate, pH 7). uv max (water): 299 nm (ε 9670, 98% NH2OH ext). pKa1 ≈3.2, pKa2 ≈9.9. Soly (mg/ml): water 10, methanol 5, ethanol 0.2, acetone < 0.1, DMF < 0.1, DMSO 0.3.

Derivative

Combination with cilastatin sodium.

Nomenclature

CAS number: 85960-17-4
Imipem (Neopharmed); Primaxin (Merck & Co.); Tenacid (Sigma-Tau); Tienam (Merck & Co.); Zienam (Merck & Co.).

Therapeutic Category

Antibacterial.

Therapeutic Category (Veterinary)

Antibacterial.

Keywords

Antibacterial (Antibiotics); β-Lactams; Carbapenems