4976. Inosine Pranobex

Nomenclature

CAS number: 36703-88-5
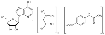
Inosine mono[4-(acetylamino)benzoate] (salt) compd with 1-(dimethylamino)-2-propanol (1:3); inosine:dimethylaminoisopropanol acetamidobenzoate (1:3); inosiplex; methisoprinol; NP-113; NPT-10381; Aviral (Medici Domus); Delimmun (Newport); Imunoviral (Newport); Isoprinosin (Newport); Isoprinosina (Newport); Isoprinosine (Newport); Isoviral (Lenza); Modimmunal (Ravizza); Pranosina (Newport); Pranosine (Newport); Viruxan (Newport).
C52H78N10O17; mol wt 1115.23.
C 56.00%, H 7.05%, N 12.56%, O 24.39%.

Description and references

Immunostimulant complex formed from the p-acetamidobenzoate salt of dimethylaminoisopropanol and inosine in a 3:1 molar ratio. Prepn: P. Gordon, DE 1965431; idem, US 3646007 (1971, 1972 both to Newport Pharm.). Antiviral activity: E. R. Brown, P. Gordon, Can. J. Microbiol. 18, 1463 (1972); R. L. Muldoon et al., Antimicrob. Agents Chemother. 2, 224 (1972). Stimulatory effect on T-cell function: L. Binderup, Int. J. Immunopharmacol. 7, 93 (1985). Pharmacology and therapeutic potential: D. M. Campoli-Richards et al., Drugs 32, 383 (1986). Clinical immunopharmacology: A. J. Glasky, J. F. Gordon, Cancer Detect. Prev. Suppl. 1, 597 (1987). Clinical trial in subacute sclerosing panencephalitis (SSPE): C. E. Jones et al., Lancet 1, 1034 (1982); G. Gascon et al., Brain Dev. 15, 346 (1993). Clinical trial in pre-AIDS patients: C. Pedersen et al., N. Engl. J. Med. 322, 1757 (1990). Review of efficacy in HIV infection: C. De Simone et al., Int. J. Immunopharmacol. 13, Suppl. 1, 19-27 (1991).

Chemical structure

Properties

Neutral water-soluble solid. LD50 in mice and rats (mg/kg): >4000 orally and i.p. (Gordon).

Therapeutic Category

Immunomodulator; antiviral.

Keywords

Antiviral; Nucleosides/Nucleotides; Immunomodulator