5277. Kalkitoxin

Nomenclature

CAS number: 247184-89-0
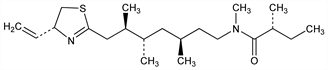
(2R)-N-[(3S,5S,6R)-7-[(4R)-4-Ethenyl-4,5-dihydro-2-thiazolyl]-3,5,6-trimethylheptyl]-N,2-dimethylbutanamide.
C21H38N2OS; mol wt 366.60.
C 68.80%, H 10.45%, N 7.64%, O 4.36%, S 8.75%.

Description and references

Neurotoxic lipopeptide isolated from the Caribbean marine algae, Lyngbya majuscula. Isoln, structure determn and synthesis: M. Wu et al., J. Am. Chem. Soc. 122, 12041 (2000). NMDA-receptor based neurotoxicity: F. W. Berman et al., Toxicon 37, 1645 (1999). Total synthesis: T. Asano et al., Tennen Yuki Kagobutsu Toronkai Koen Yoshishu 2000, 691. Brief review: J. Fricker, Drug Discov. Today 6, 223-224 (2001).

Chemical structure

Properties

[α]D25 +16° (c = 0.07 in CHCl3). uv max (methanol): 250 nm (ε 2600). LC50 in common goldfish, brine shrimp: 700, 150 nM (Wu).