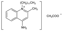
5387. Laurolinium Acetate

Nomenclature

CAS number: 146-37-2
4-Amino-1-dodecyl-2-methylquinolinium acetate; 4-amino-1-dodecylquinaldinium acetate; 1-dodecyl-4-aminoquinaldinium acetate; Laurodin.
C24H38N2O2; mol wt 386.57.
C 74.57%, H 9.91%, N 7.25%, O 8.28%.

Description and references

Prepn: D. Caldwell et al., J. Pharm. Pharmacol. 13, 554 (1961); D. Caldwell, L. R. Rowe, US 2997476 (1961 to Allen & Hanburys). Toxicity data: W. A. Cox, P. F. D'Arcy, J. Pharm. Pharmacol. 15, 129 (1963).

Chemical structure

Properties

Crystals from acetone, mp 170-171°. Freely sol in water. About 1 g dissolves in 2 ml of water at 20°. LD50 in mice (mg/kg): 131 ±36.2 orally; 30.2 ±5.6 s.c.; 6.0 ±04 i.v.; 2.3 ±0.2 i.p. (Cox, D'Arcy).

Therapeutic Category

Antiseptic.

Keywords

Antiseptic/Disinfectant; Quaternary Ammonium Compounds