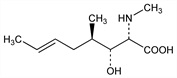
5771. MeBmt

Nomenclature

CAS number: 59865-23-5
(2S,3R,4R,6E)-3-Hydroxy-4-methyl-2-(methylamino)-6-octenoic acid; (4R)-4-[(E)-2-butenyl]-4,N-dimethyl-l-threonine.
C10H19NO3; mol wt 201.26.
C 59.68%, H 9.52%, N 6.96%, O 23.85%.

Description and references

Characteristic C9 amino acid of cyclosporins, q.v. Identification in cyclosporin A: A. Ruegger et al., Helv. Chim. Acta 59, 1075 (1976). Syntheses: R. M. Wenger, ibid. 66, 2308 (1983); D. A. Evans, A. E. Weber, J. Am. Chem. Soc. 108, 6757 (1986); U. Schmidt, W. Siegel, Tetrahedron Lett. 28, 2849 (1987). Appears to be necessary for full biological activity of cyclosporin: R. M. Wenger, Angew. Chem. Int. Ed. 24, 77 (1985); D. H. Rich et al., J. Med. Chem. 29, 978 (1986).

Chemical structure

Properties

Crystals from ethanol, mp 240-241° (Wenger). [α]D20 +13.5° (c = 0.50 in water, pH 7). Also reported as mp 242-243° (Evans, Weber). [α]D +17° (c = 0.51 in 0.4N aq HCl).