5855. Mephosfolan

Nomenclature

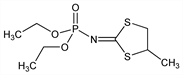
CAS number: 950-10-7
(4-Methyl-1,3-dithiolan-2-ylidene)phosphoramidic acid diethyl ester; phosphonodithioimidocarbonic acid cyclic propylene P,P-diethyl ester; 2-diethoxyphosphinylimino-4-methyl-1,3-dithiolane; cyclic propylene (diethoxyphosphinyl)dithioimidocarbonate; EI-47470; ENT-25991; Cytrolane (BASF).
C8H16NO3PS2; mol wt 269.32.
C 35.68%, H 5.99%, N 5.20%, O 17.82%, P 11.50%, S 23.81%.

Description and references

Insecticidal contact and stomach poison with systemic activity: D. L. Bull et al., J. Econ. Entomol. 57, 112 (1964). Prepn: J. B. Lovell, US 3197365 (1965 to Am. Cyanamid). Metabolism: J. Zulalian, R. C. Blinn, J. Agric. Food Chem. 25, 1033 (1977). Photodegradation: C. C. Ku et al., ibid. 27, 1046 (1979).

Chemical structure

Properties

Yellow to amber liquid, bp0.001 120°. nD26 1.5354. Soly in water at 25°: 57 g/kg. Sol in acetone, ethanol, benzene, 1,2-dichloroethane. Stable at neutral pH; hydrolyzed by acid or alkali.

Use

Insecticide, acaricide.