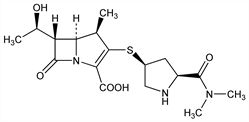
5900. Meropenem

Nomenclature

CAS number: 96036-03-2
(4R,5S,6S)-3-[[(3S,5S)-5-[(Dimethylamino)carbonyl]-3-pyrrolidinyl]thio]-6-[(1R)-1-hydroxyethyl]-4-methyl-7-oxo-1-azabicyclo[3.2.0]hept-2-ene-2-carboxylic acid; (1R,5S,6S)-2-[(3S,5S)-5-(dimethylaminocarbonyl)pyrrolidin-3-ylthio]-6-[(R)-1-hydroxyethyl]-1-methylcarbapen-2-em-3-carboxylic acid.
C17H25N3O5S; mol wt 383.46.
C 53.25%, H 6.57%, N 10.96%, O 20.86%, S 8.36%.

Description and references

Carbapenem antibiotic. Prepn: M. Sunagawa et al., EP 126587; M. Sunagawa, US 4943569 (1984, 1990 both to Sumitomo). Structure-activity study: M. Sunagawa et al., J. Antibiot. 43, 519 (1990). Crystal structure: K. Yanagi et al., Acta Crystallogr. C48, 1737 (1992). HPLC determn in serum and bronchial secretions: M. Ehrlich et al., J. Chromatogr. B 751, 357 (2001). Pharmacokinetics: R. Wise et al., Antimicrob. Agents Chemother. 34, 1515 (1990). Series of articles on antimicrobial activity, metabolism: J. Antimicrob. Chemother. 24, Suppl. A, 1-320 (1989); and clinical performance: ibid. 36, Suppl. A, 1-223 (1995). Review of clinical experience in intensive care: M. Hurst, H. M. Lamb, Drugs 59, 653-680 (2000).

Chemical structure

Derivative

Trihydrate.

Nomenclature

CAS number: 119478-56-7
ICI-194660; SM-7338; Meronem (AstraZeneca); Meropen (Sumitomo); Merrem (AstraZeneca).

Properties

White to pale yellow crystalline powder. Sparingly sol in water; very slightly sol in hydrated ethanol. Practically insol in acetone, ether.

Therapeutic Category

Antibacterial.

Keywords

Antibacterial (Antibiotics); β-Lactams; Carbapenems