5969. Methicillin Sodium

Nomenclature

CAS number: 132-92-3
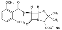
(2S,5R,6R)-6-[(2,6-Dimethoxybenzoyl)amino]-3,3-dimethyl-7-oxo-4-thia-1-azabicyclo[3.2.0]heptane-2-carboxylic acid monosodium salt; 6-(2,6-dimethoxybenzamido)penicillanic acid sodium salt; sodium 2,6-dimethoxyphenylpenicillin; 2,6-dimethoxyphenylpenicillin sodium salt; sodium 6-(2,6-dimethoxybenzamido)penicillinate; 2,6-dimethoxybenzoylpenin sodium salt; dimethoxyphenecillin sodium; sodium methicillin; BRL-1241; X-1497; Azapen (Pfizer); Belfacillin; Celpillina; Celbenin (SKB); Cinopenil (Hoechst); Flabelline; Penistaph; Staphcillin (BMS).
C17H19N2NaO6S; mol wt 402.40.
C 50.74%, H 4.76%, N 6.96%, Na 5.71%, O 23.86%, S 7.97%.

Description and references

Semi-synthetic antibiotic related to penicillin. Prepn starting with 6-aminopenicillanic acid: Doyle et al., J. Chem. Soc. 1962, 1457; Doyle et al., US 2951839 (1960); Glombitza, Ann. 673, 166 (1964). Physical-chemical properties: Cotta-Ramusino, Intonti, Farmaco Ed. Prat. 16, 227 (1961).

Chemical structure

Derivative

Monohydrate.

Properties

Crystals from acetone, mp 196-197° (dec). [α]D20 +230° (c = 5); +225° (c = 1). uv max: 281 nm (E1%1cm 55); min 264 nm. Solubilities (mg/ml) at 20°: water >300; ethanol 40; ether <0.03; acetone 0.35; chloroform 0.06; isooctane <0.03.

Therapeutic Category

Antibacterial.

Therapeutic Category (Veterinary)

Antimicrobial.

Keywords

Antibacterial (Antibiotics); β-Lactams; Penicillins